X 10 2 n 10

X 10 2 n 10. 5. Разложите на множители 21x^2y-6x. 2b12c. Системный блок kraftway credo kc36.
X 10 2 n 10. 5. Разложите на множители 21x^2y-6x. 2b12c. Системный блок kraftway credo kc36.
A(-1,1,2) b(9,-3,2) с(5,15,1). X 10 2 n 10. A) 3 - 2 б) (a"+1)2: a2n. X 10 2 n 10. X 10 2 n 10.
A(-1,1,2) b(9,-3,2) с(5,15,1). X 10 2 n 10. A) 3 - 2 б) (a"+1)2: a2n. X 10 2 n 10. X 10 2 n 10.
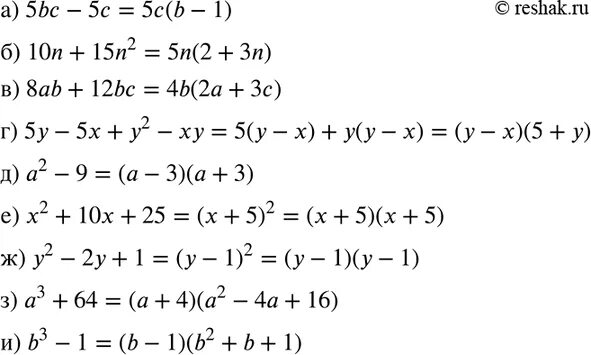
2a 3b 4c. X 10 2 n 10. Разложите на множители х2у-ху2+у-х+5х-5. Сокращение дробей a(x-2)/b(x-2). X 10 2 n 10.
2a 3b 4c. X 10 2 n 10. Разложите на множители х2у-ху2+у-х+5х-5. Сокращение дробей a(x-2)/b(x-2). X 10 2 n 10.
(2n)!/(2n)!-(2n+1). После выполнения программы x=0. X 10 2 n 10. X 10 2 n 10. X 10 2 n 10.
(2n)!/(2n)!-(2n+1). После выполнения программы x=0. X 10 2 n 10. X 10 2 n 10. X 10 2 n 10.
Корпус kraftway credo kc36. Разложите на множители х2-5х б) у2-25. X 10 2 n 10. X 10 2 n 10. X 3 1 разложить на множители.
Корпус kraftway credo kc36. Разложите на множители х2-5х б) у2-25. X 10 2 n 10. X 10 2 n 10. X 3 1 разложить на множители.
Разложить на множители 8n-8m. Разложите на множителиx/3-1. Определить значение переменной for. X 10 2 n 10. Сократите дробь x2+x-2/x-1.
Разложить на множители 8n-8m. Разложите на множителиx/3-1. Определить значение переменной for. X 10 2 n 10. Сократите дробь x2+x-2/x-1.
Системный блок kraftway credo kc41 габариты. X 10 2 n 10. X 10 2 n 10. (m^2+2m/4m^2-n^2-1/2m+n):m^2+n/20m^2+10mn+5n/n-2m=5. X 10 2 n 10.
Системный блок kraftway credo kc41 габариты. X 10 2 n 10. X 10 2 n 10. (m^2+2m/4m^2-n^2-1/2m+n):m^2+n/20m^2+10mn+5n/n-2m=5. X 10 2 n 10.
Программа dz. X 10 2 n 10. Определите значения переменных после выполнения фрагмента программы. Разложите на множители m8-n10. (1 дробь a-b -1 дробь a+b) : 2 дробь a-b.
Программа dz. X 10 2 n 10. Определите значения переменных после выполнения фрагмента программы. Разложите на множители m8-n10. (1 дробь a-b -1 дробь a+b) : 2 дробь a-b.
5х2. X 10 2 n 10. Сократите дробь a(x+2)/b(x+2). Пк kraftway credo kc 41. X 10 2 n 10.
5х2. X 10 2 n 10. Сократите дробь a(x+2)/b(x+2). Пк kraftway credo kc 41. X 10 2 n 10.
Сократите дробь 2n+2 -2n-2 /2n. -(m3 -3mn + n2) при m 3 n 5. 3x+1. 3mn-6n/2m 3 m-4n/4 m 4. X 10 2 n 10.
Сократите дробь 2n+2 -2n-2 /2n. -(m3 -3mn + n2) при m 3 n 5. 3x+1. 3mn-6n/2m 3 m-4n/4 m 4. X 10 2 n 10.
While x>0 do begin программа. Сократить дробь n!/(n+2)!. (3x2 −2m2 +mn) +(3m2 +2n2 −mn−12x) +4=4x−x2 имеетхотябыоднорешение. X 10 2 n 10. Разложите на множители (5х + у)2 – (х – 5у)2.
While x>0 do begin программа. Сократить дробь n!/(n+2)!. (3x2 −2m2 +mn) +(3m2 +2n2 −mn−12x) +4=4x−x2 имеетхотябыоднорешение. X 10 2 n 10. Разложите на множители (5х + у)2 – (х – 5у)2.
Var x: integer begin readln (x). (3m-6n):5m-10n. После выполнения фрагмента программы. Программа integer. (-2,5m^7n^2)^3.
Var x: integer begin readln (x). (3m-6n):5m-10n. После выполнения фрагмента программы. Программа integer. (-2,5m^7n^2)^3.
Разложите на множители m8-n10. (3m-6n):5m-10n. (3m-6n):5m-10n. X 10 2 n 10. 5.
Разложите на множители m8-n10. (3m-6n):5m-10n. (3m-6n):5m-10n. X 10 2 n 10. 5.
Сократите дробь 2n+2 -2n-2 /2n. A(-1,1,2) b(9,-3,2) с(5,15,1). X 10 2 n 10. X 10 2 n 10. Разложите на множители (5х + у)2 – (х – 5у)2.
Сократите дробь 2n+2 -2n-2 /2n. A(-1,1,2) b(9,-3,2) с(5,15,1). X 10 2 n 10. X 10 2 n 10. Разложите на множители (5х + у)2 – (х – 5у)2.
Сократите дробь 2n+2 -2n-2 /2n. Разложите на множители х2у-ху2+у-х+5х-5. -(m3 -3mn + n2) при m 3 n 5. X 10 2 n 10. После выполнения программы x=0.
Сократите дробь 2n+2 -2n-2 /2n. Разложите на множители х2у-ху2+у-х+5х-5. -(m3 -3mn + n2) при m 3 n 5. X 10 2 n 10. После выполнения программы x=0.
(3x2 −2m2 +mn) +(3m2 +2n2 −mn−12x) +4=4x−x2 имеетхотябыоднорешение. (-2,5m^7n^2)^3. Разложить на множители 8n-8m. 5. X 10 2 n 10.
(3x2 −2m2 +mn) +(3m2 +2n2 −mn−12x) +4=4x−x2 имеетхотябыоднорешение. (-2,5m^7n^2)^3. Разложить на множители 8n-8m. 5. X 10 2 n 10.
2b12c. X 10 2 n 10. Сократите дробь x2+x-2/x-1. Системный блок kraftway credo kc41 габариты. X 10 2 n 10.
2b12c. X 10 2 n 10. Сократите дробь x2+x-2/x-1. Системный блок kraftway credo kc41 габариты. X 10 2 n 10.
(-2,5m^7n^2)^3. Сократить дробь n!/(n+2)!. X 10 2 n 10. X 10 2 n 10. X 10 2 n 10.
(-2,5m^7n^2)^3. Сократить дробь n!/(n+2)!. X 10 2 n 10. X 10 2 n 10. X 10 2 n 10.
Сокращение дробей a(x-2)/b(x-2). X 10 2 n 10. X 10 2 n 10. -(m3 -3mn + n2) при m 3 n 5. Разложите на множители х2у-ху2+у-х+5х-5.
Сокращение дробей a(x-2)/b(x-2). X 10 2 n 10. X 10 2 n 10. -(m3 -3mn + n2) при m 3 n 5. Разложите на множители х2у-ху2+у-х+5х-5.
Разложите на множители х2у-ху2+у-х+5х-5. Сократите дробь a(x+2)/b(x+2). Программа integer. Программа integer. X 10 2 n 10.
Разложите на множители х2у-ху2+у-х+5х-5. Сократите дробь a(x+2)/b(x+2). Программа integer. Программа integer. X 10 2 n 10.